Dne 11.07.2022 sem na Javno agencijo za zdravila in medicinske pripomočke naslovil Zahtevo po takojšnji ukinitvi začasnih dovoljenj “cepivom” zoper COVID-19, saj le-te več ne dosegajo standarda učinkovitosti, ki se za “cepiva” s pogojnim dovoljenjem zahteva, da lahko še naprej ostanejo na trgu.
26.08.2022

Seveda mi je bilo vnaprej jasno, da zahtevi Agencija nikakor ne bo sledila. Pristojnost državnega regulatorja za zdravila in medicinske pripomočke je namreč v primeru pripravkov zoper COVID-19, na podlagi Uredbe št. 507/2006 in Direktive št. 726/2004 v celoti uzurpirala Evropska komisija. Zato sem poleg zahteve oziroma neodvisno od te, zahteval relevantne informacije, pri čemer sem se skliceval na določbo 1. člena v zvezi s prvim odstavkom 4. člena, določbe 12., 15., 16. in 17. člena Zakona o dostopu do informacij javnega značaja ter na Uredbo o upravnem poslovanju (Uradni list RS, št. 9/18, 14/20, 167/20 in172/21), na podlagi katere so upravni organi dolžni odgovoriti na zastavljena vprašanja iz njihove pristojnosti. Na ta način sem želel pridobiti še uradno potrdilo, da ima pristojen nacionalni organ v primeru “cepiv” zoper COVID-19 zvezane roke.
Priznam. Mislil sem, da bodo zadevo v celoti ignorirali in, da ne bom prejel odgovora, oziroma bom moral s postopkom nadaljevati pred Informacijskim pooblaščencem. Motil sem se. Zahteva je bila seveda zavržena, a razlog za takšno odločitev je bistven. JAZMP namreč ni odločal meritorno, oziroma se ni spuščal v ocenjevanje standarda učinkovitosti, ki se zahteva, da lahko cepivo obdrži pogojno dovoljenje. Nasprotno. Vsebinski presoji se je Agencija elegantno izognila s sklicevanjem na nepristojnost. V obrazložitvi je namreč izrecno zapisano, da Agencija “ni pristojna za odločanje” o odvzemu pogojnih oziroma začasnih dovoljenj “cepivom” zoper COVID-19. Za kaj takšnega je skladno z odgovorom JAZMP, namreč izključno pristojna Evropska komisija. Z obrazložitvijo se sicer ne morem v celoti strinjati. Menim, da gre bolj za poskus “umivanja rok” pred odgovornostjo, ki jo Agencija nosi v zvezi z zdravstveno dobrobitjo ljudi na območju Slovenije. Skladno z določbo druge alineje tretjega odstavka 20. člena Zakona o zdravilih namreč sploh ne obstoji več pogoj, ki bi še nadalje upravičeval cepljenje s “cepivi” zoper COVID-19. Določba tega člena je namreč povsem jasna. JAZMP lahko v izjemnih primerih začasno dovoli promet z zdravilom, ki nima dovoljenja za promet in sicer v izrednih primerih (infekcije, epidemije, pandemije, zastrupitve, sevanja in podobno), za namen izvajanja zaščitnih ukrepov ali iz drugih razlogov, ki so v interesu varovanja javnega zdravja.
Nadalje, na uradni spletni strani Agencije med glavnimi značilnostmi “cepiva” zasledimo sledeč zapis: “Uradna sprostitev serije: V skladu s členom 114 Direktive 2001/83/ES z vsemi dopolnitvami in spremembami, serijo uradno sprosti državni laboratorij ali laboratorij, določen v ta namen.”

Ne nazadnje najdemo na tej isti uradni strani, še povsem jasno deklarirano poslanstvo te Agencije: “Na področju zdravil, medicinskih pripomočkov, krvi, tkiv in celic skrbimo za zdravstveno dobrobit ljudi in živali ter kot predlagatelj politik in koordinator stroke sooblikujemo družbeno okolje. S strokovno obravnavo, regulativnimi aktivnostmi in nadzorom omogočamo ter hkrati spodbujamo dostopnost izdelkov in aktivnosti deležnikov, ki z doseganjem visokih standardov prinašajo napredke znanosti in stroke v korist celotne družbe”.
Kakorkoli že, ta “cepiva” so res nekaj posebnega, pritiski pa verjetno neznosni. A vendarle, JAZMP je informacije, ki sem jih želel pridobiti podal in odločitev, ki ne pušča več nobenega dvoma, podrobno obrazložil. Končno je namreč tudi uradno potrjeno, da celotno zadevo v zvezi s “cepivi” zoper COVID-19 vodi politika, katero seveda obvladujejo močne interesne skupine. Za države članice Evropske unije si je tako pristojnost, ki je sicer nima, uzurpirala kar Evropska komisija. S strani nikogar izvoljena “izvršilna oblast” Evropske unije, torej. Pristojni regulatorji pa so v najboljšem primeru postali zgolj še politiki in profesionalnim birokratom podrejeni svetovalci, vključno z Evropsko agencijo za zdravila (EMA).



Marsikaj kar bi se v edini normalnosti upravičeno zdelo kot teorija zarote, je žal v obdobju idiokracije, v katerem trenutno živimo, uradno potrjeno. Vemo:
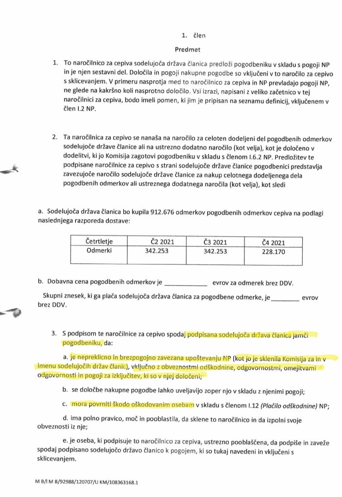
- da se Evropska komisija s proizvajalci “cepiv”, v našem imenu pogaja za nakup le-teh, birokrati in cepilni akviziterji v posameznih državah članicah pa skladno z navodili, zgolj izpolnjujejo naročilnice;
- da je Evropska komisija v primeru “cepiv” zoper COVID-19 pristojna za podaljšanje pogojnih oziroma začasnih dovoljenj oziroma za odvzem le-teh, pri čemer je celo Evropska agencija za zdravila (EMA) le nek “posvetovalni organ”;
- da je Evropska komisija državljanom EU zagotovila “cepiva” zoper COVID-19, pri čemer nobeno od teh še ni prestalo tretje klinične faze testiranj;
- da kljub navedenemu dejstvu iz predhodne točke, ta “cepiva”, ponovno na podlagi odobritve Evropske komisije, niso podvržena predpisom o kliničnem preskušanju zdravil za uporabo v humani medicini, kot jih določajo Uredba (EU) št. 536/2014, Uredba (EU) 2020/1043 ter Direktiva 2001/20/ES Evropskega parlamenta in Sveta in s tem tudi ne Helsinški deklaraciji iz leta 1964. ki ščiti posameznika pred nedovoljenimi biomedicinskimi poskusi;












predviden datum zaključka študij in zapis glede neveljavnosti Helsinške deklaracije – izvajalci “cepljenja” POZOR!
Vir:
https://www.jazmp.si/cepiva-proti-covidu-19/
Se sploh lahko še kdo čudi zakaj je potrebna cenzura, zakaj so potrebne diskvalifikacije in diskreditacije strokovnjakov, ki so ostali pokončni ter zakaj je potreben njihov pregon? Ko se poenotena politika tako boji za naše zdravje, da kar sama prevzame vlogo pristojnih regulatorjev, bi sam dvakrat premislil kako iskrena je dejansko njihova skrb. Ko se bo v javnosti pojavil še uradni dokument iz katerega bo nedvoumno izhajalo, da Evropska komisija aktivno sodeluje tudi pri pripravi globalnega sporazuma s Svetovno zdravstveno organizacijo, na podlagi katerega bo le-ta pridobila neslutena, a obenem neustavna pooblastila, verjamem, da bo marsikdo spregledal, da živimo v ugrabljeni državi... in verjetno pobesnel.
Legendarna scena Petra Fincha iz filma Network, še kako primerna za današnji čas.
Povezani temi:
Za vse, ki še niste podpisali peticije, pa bi to želeli: https://www.change.org/p/javni-poziv-dr%C5%BEavljanov-glede-sklenitve-globalnega-sporazuma-s-svetovno-zdravstveno-organi?utm_content=cl_sharecopy_33304962_en-US%3A3&recruiter=1265050915&utm_source=share_petition&utm_medium=copylink&utm_campaign=share_petition ali: https://www.peticija.online/zelopomembno_-_javni_poziv_glede_sklenitve_globalnega_sporazuma_z_who
